Lehramt Sekundarstufe I und II (Stadtteilschulen und Gymnasien) (M.Ed.)
Das Masterstudium für das Lehramt für die Sekundarstufe I und II (Stadtteilschulen und Gymnasien) (LASek) umfasst den Teilstudiengang Erziehungswissenschaft (insgesamt 61 LP), davon Fachdidaktik (FD; 2 x 6 LP) und Kernpraktikum (30 LP) sowie zwei bereits im Bachelorstudium gewählte Unterrichtsfächer als Teilstudiengänge (je 22 LP) aus dem Fächerkanon:
Alevitische Religion, Arbeitslehre/Technik, Bildende Kunst, Biologie, Chemie, Deutsch, Englisch, Evangelische Religion, Französisch, Geographie, Geschichte, Griechisch, Informatik, Islamische Religion, Katholische Religion, Latein, Mathematik, Musik, Philosophie, Physik, Russisch, Sozialwissenschaften, Spanisch, Sport und Theater.
Die Unterrichtsfächer Geschichte, Griechisch, Philosophie und Sozialwissenschaften können nicht miteinander kombiniert werden.
Die Unterrichtsfächer Bildende Kunst und Musik können nicht miteinander kombiniert werden. Bei der Wahl des Unterrichtsfachs Bildende Kunst oder Musik erhöht sich die Regelstudienzeit um zwei Semester.
Die Unterrichtsfächer Alevitische Religion, Evangelische Religion, Islamische Religion und Katholische Religion können nicht miteinander komibiniert werden.
Weiterer Bestandteil des Studiengangs ist die Masterarbeit (15 LP).
Für die Masterprüfung wird eine gewichtete Gesamtnote aus den Fachnoten und der Note des Abschlussmoduls gebildet. Die Gesamtnote berechnet sich wie folgt:

Der Teilstudiengang Erziehungswissenschaft
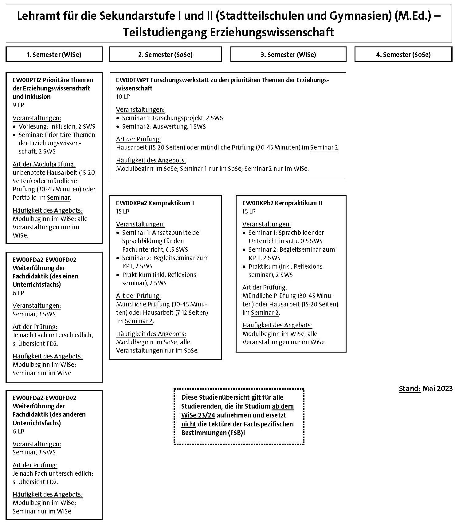
Studienablauf Lehramt Sekundarstufe I und II
Studierende mit dem Studienziel des Lehramts für die Sekundarstufe I und II (Stadtteilschulen und Gymnasien) absolvieren die Module in der Regel in folgenden Semestern:
Diese Studienübersicht und die gesonderte Übersicht über die Module der verschiedenen Fachdidaktiken finden Sie hier zum Download:
- Studienübersicht Teilstudiengang Erziehungswissenschaft Lehramt für die Sekundarstufe I und II (M.Ed.) (PDF)
- Übersicht über die Module der Fachdidaktiken 2 [Übersicht FD2] (PDF)
Fachspezifische Bestimmungen
Berechnung der Fachnote
Die Fachnote im Teilstudiengang Erziehungswissenschaft wird aus dem mit den Leistungspunkten gewichteten Mittel der Modulnoten gebildet. Das Modul Prioritäre Themen der Erziehungswissenschaft und Inklusion (EW00PTI2) ist unbenotet und geht nicht in die Fachnote ein. Der Gewichtungsfaktor der Note für das Kernpraktikum (EW00KPa2 und EW00KPb2) beträgt je Modul jeweils 5.
